学聪网-学习资源分享之家
学聪网-学习资源分享之家
  • 首页
  • 系统软件
    • window7系统
    • window10系统
    • window11系统
  • IntelliJ 全家桶
    • IDEA
    • pycharm
  • 安卓
  • 苹果
  • window软件
    • 系统辅助
    • 多媒体处理
    • 上传下载
    • 办公软件
    • 媒体播放
    • 截图录屏
    • 数据恢复
    • 格式转换
    • 桌面辅助
    • 浏览器
    • 激活工具
    • 硬件工具
首页 八年级
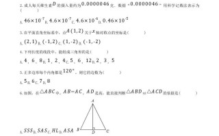
2022-2023学年北师大版八年级数学册第一章勾股定理单元综合测试题及答案-【免费下载-高清无水印】【数学电子版可打印】

2022-2023学年北师大版八年级数学册第一章勾股定理单元综合测试题及答案-【免费下载-高清无水印】【数学电子版可打印】

2022-2023学年北师大版八年级数学册第一章勾股定理单元综合测试题及答案------预览已结束,还剩9页未读,点击底部下载按钮,获取高清完整版------...

学聪哥 2025-08-12 180 #数学

2021-2022学年湖南省娄底市双峰县八年级学期期末数学试题及答案-【免费下载-高清无水印】【数学电子版可打印】

2021-2022学年湖南省娄底市双峰县八年级学期期末数学试题及答案-【免费下载-高清无水印】【数学电子版可打印】

2021-2022学年湖南省娄底市双峰县八年级学期期末数学试题及答案------预览已结束,还剩14页未读,点击底部下载按钮,获取高清完整版------...

学聪哥 2025-08-12 138 #数学

2020-2021学年内蒙古呼和浩特市八年级学期期末数学试题及答案-【免费下载-高清无水印】【数学电子版可打印】

2020-2021学年内蒙古呼和浩特市八年级学期期末数学试题及答案-【免费下载-高清无水印】【数学电子版可打印】

2020-2021学年内蒙古呼和浩特市八年级学期期末数学试题及答案------预览已结束,还剩15页未读,点击底部下载按钮,获取高清完整版------...

学聪哥 2025-08-12 145 #数学

2020-2021学年辽宁省锦州市八年级学期期末数学试题及答案-【免费下载-高清无水印】【数学电子版可打印】

2020-2021学年辽宁省锦州市八年级学期期末数学试题及答案-【免费下载-高清无水印】【数学电子版可打印】

2020-2021学年辽宁省锦州市八年级学期期末数学试题及答案------预览已结束,还剩21页未读,点击底部下载按钮,获取高清完整版------...

学聪哥 2025-08-12 143 #数学

2020-2021学年陕西省汉中市城固县八年级学期期中数学试题及答案-【免费下载-高清无水印】【数学电子版可打印】

2020-2021学年陕西省汉中市城固县八年级学期期中数学试题及答案-【免费下载-高清无水印】【数学电子版可打印】

2020-2021学年陕西省汉中市城固县八年级学期期中数学试题及答案------预览已结束,还剩3页未读,点击底部下载按钮,获取高清完整版------...

学聪哥 2025-08-12 150 #数学

2022-2023学年辽宁省葫芦岛市建昌县八年级学期期中数学试题及答案-【免费下载-高清无水印】【数学电子版可打印】

2022-2023学年辽宁省葫芦岛市建昌县八年级学期期中数学试题及答案-【免费下载-高清无水印】【数学电子版可打印】

2022-2023学年辽宁省葫芦岛市建昌县八年级学期期中数学试题及答案------预览已结束,还剩20页未读,点击底部下载按钮,获取高清完整版------...

学聪哥 2025-08-12 182 #数学

2022-2023学年河南省南阳市南召县八年级学期期中数学试题及答案-【免费下载-高清无水印】【数学电子版可打印】

2022-2023学年河南省南阳市南召县八年级学期期中数学试题及答案-【免费下载-高清无水印】【数学电子版可打印】

2022-2023学年河南省南阳市南召县八年级学期期中数学试题及答案------预览已结束,还剩18页未读,点击底部下载按钮,获取高清完整版------...

学聪哥 2025-08-12 179 #数学

2022-2023学年人教版八年级数学册第12章全等三角形单元测试题及答案-【免费下载-高清无水印】【数学电子版可打印】

2022-2023学年人教版八年级数学册第12章全等三角形单元测试题及答案-【免费下载-高清无水印】【数学电子版可打印】

2022-2023学年人教版八年级数学册第12章全等三角形单元测试题及答案------预览已结束,还剩10页未读,点击底部下载按钮,获取高清完整版------...

学聪哥 2025-08-12 140 #数学

2020-2021学年辽宁省沈阳市沈河区八年级学期期末数学试题及答案-【免费下载-高清无水印】【数学电子版可打印】

2020-2021学年辽宁省沈阳市沈河区八年级学期期末数学试题及答案-【免费下载-高清无水印】【数学电子版可打印】

2020-2021学年辽宁省沈阳市沈河区八年级学期期末数学试题及答案------预览已结束,还剩21页未读,点击底部下载按钮,获取高清完整版------...

学聪哥 2025-08-12 186 #数学

2021-2022学年河南省驻马店市平舆县八年级学期期末数学试题及答案-【免费下载-高清无水印】【数学电子版可打印】

2021-2022学年河南省驻马店市平舆县八年级学期期末数学试题及答案-【免费下载-高清无水印】【数学电子版可打印】

2021-2022学年河南省驻马店市平舆县八年级学期期末数学试题及答案------预览已结束,还剩19页未读,点击底部下载按钮,获取高清完整版------...

学聪哥 2025-08-12 171 #数学

2020-2021学年河南省新乡市卫辉市八年级学期期末数学试题及答案-【免费下载-高清无水印】【数学电子版可打印】

2020-2021学年河南省新乡市卫辉市八年级学期期末数学试题及答案-【免费下载-高清无水印】【数学电子版可打印】

2020-2021学年河南省新乡市卫辉市八年级学期期末数学试题及答案------预览已结束,还剩17页未读,点击底部下载按钮,获取高清完整版------...

学聪哥 2025-08-12 136 #数学

2022-2023学年广东省揭阳市揭东区八年级学期期中数学试题及答案-【免费下载-高清无水印】【数学电子版可打印】

2022-2023学年广东省揭阳市揭东区八年级学期期中数学试题及答案-【免费下载-高清无水印】【数学电子版可打印】

2022-2023学年广东省揭阳市揭东区八年级学期期中数学试题及答案------预览已结束,还剩14页未读,点击底部下载按钮,获取高清完整版------...

学聪哥 2025-08-12 195 #数学

2021-2022学年福建省宁德市八年级学期期末数学试题及答案-【免费下载-高清无水印】【数学电子版可打印】

2021-2022学年福建省宁德市八年级学期期末数学试题及答案-【免费下载-高清无水印】【数学电子版可打印】

2021-2022学年福建省宁德市八年级学期期末数学试题及答案------预览已结束,还剩15页未读,点击底部下载按钮,获取高清完整版------...

学聪哥 2025-08-12 204 #数学

2020-2021学年河南省平顶山市舞钢市八年级学期期中数学试题及答案-【免费下载-高清无水印】【数学电子版可打印】

2020-2021学年河南省平顶山市舞钢市八年级学期期中数学试题及答案-【免费下载-高清无水印】【数学电子版可打印】

2020-2021学年河南省平顶山市舞钢市八年级学期期中数学试题及答案------预览已结束,还剩16页未读,点击底部下载按钮,获取高清完整版------...

学聪哥 2025-08-12 148 #数学

2022-2023学年北师大版八年级数学册第5章单元综合达标测试题及答案-【免费下载-高清无水印】【数学电子版可打印】

2022-2023学年北师大版八年级数学册第5章单元综合达标测试题及答案-【免费下载-高清无水印】【数学电子版可打印】

2022-2023学年北师大版八年级数学册第5章单元综合达标测试题及答案------预览已结束,还剩5页未读,点击底部下载按钮,获取高清完整版------...

学聪哥 2025-08-12 156 #数学

2021-2022学年广西南宁市八年级学期期末数学试题及答案-【免费下载-高清无水印】【数学电子版可打印】

2021-2022学年广西南宁市八年级学期期末数学试题及答案-【免费下载-高清无水印】【数学电子版可打印】

2021-2022学年广西南宁市八年级学期期末数学试题及答案------预览已结束,还剩17页未读,点击底部下载按钮,获取高清完整版------...

学聪哥 2025-08-12 144 #数学

2020-2021学年河南省驻马店市平舆县八年级学期期末数学试题及答案-【免费下载-高清无水印】【数学电子版可打印】

2020-2021学年河南省驻马店市平舆县八年级学期期末数学试题及答案-【免费下载-高清无水印】【数学电子版可打印】

2020-2021学年河南省驻马店市平舆县八年级学期期末数学试题及答案------预览已结束,还剩14页未读,点击底部下载按钮,获取高清完整版------...

学聪哥 2025-08-12 148 #数学

2021-2022学年安徽省合肥市瑶海区八年级学期期中数学试题及答案-【免费下载-高清无水印】【数学电子版可打印】

2021-2022学年安徽省合肥市瑶海区八年级学期期中数学试题及答案-【免费下载-高清无水印】【数学电子版可打印】

2021-2022学年安徽省合肥市瑶海区八年级学期期中数学试题及答案------预览已结束,还剩5页未读,点击底部下载按钮,获取高清完整版------...

学聪哥 2025-08-12 160 #数学

2021-2022学年广东省梅州市大埔县八年级学期期中数学试题及答案-【免费下载-高清无水印】【数学电子版可打印】

2021-2022学年广东省梅州市大埔县八年级学期期中数学试题及答案-【免费下载-高清无水印】【数学电子版可打印】

2021-2022学年广东省梅州市大埔县八年级学期期中数学试题及答案------预览已结束,还剩13页未读,点击底部下载按钮,获取高清完整版------...

学聪哥 2025-08-12 141 #数学

2022-2023学年河南省许昌市禹州市八年级学期期中数学试题及答案-【免费下载-高清无水印】【数学电子版可打印】

2022-2023学年河南省许昌市禹州市八年级学期期中数学试题及答案-【免费下载-高清无水印】【数学电子版可打印】

2022-2023学年河南省许昌市禹州市八年级学期期中数学试题及答案------预览已结束,还剩13页未读,点击底部下载按钮,获取高清完整版------...

学聪哥 2025-08-12 138 #数学

首页 上一页 1 2 3 4 5 6 7 8 9 10 下一页 尾页

随机图文

  • 【课时】北师四数学 专题03小数的 加法 和减法练习卷-【1免费下载】

    【课时】北师四数学 专题03小数的 加法 和减法练习

    2025-07-190
  • 【词语 】五语文词语小单-【免费下载】

    【词语 】五语文词语小单-【免费下载】

    2025-07-190
  • 2025 春新版三外研版英语单词衡水体字帖-Unit1-6-【免费下载】

    2025 春新版三外研版英语单词衡水体字帖-Unit

    2025-07-200

最新文章

  • IntelliJ IDEA 2024破解版安装教程,永久激活使用,亲测可用,付下载链接

    IntelliJ IDEA 2024破解版安装教程,

    2026-01-21448
  • 25秋语文《核心知识点专练》2-6年级上册

    25秋语文《核心知识点专练》2-6年级上册

    2025-10-17825
  • 一年级语文册第6单元测试卷2-【免费下载-高清无水印】【语文电子版可打印】

    一年级语文册第6单元测试卷2-【免费下载-高清无水印

    2025-09-18995
  • 一年级语文册第6单元提升练习-【免费下载-高清无水印】【语文电子版可打印】

    一年级语文册第6单元提升练习-【免费下载-高清无水印

    2025-09-18905
  • 一年级语文册第7单元测试卷1-【免费下载-高清无水印】【语文电子版可打印】

    一年级语文册第7单元测试卷1-【免费下载-高清无水印

    2025-09-18929
  • 一年级语文册第7单元测试卷2-【免费下载-高清无水印】【语文电子版可打印】

    一年级语文册第7单元测试卷2-【免费下载-高清无水印

    2025-09-18800

热门文章

    关于本站

    学聪网
    桂ICP备2022002079号-2

    联系我们

    关注我们

    学聪网-学习资源分享之家二维码